SERVICE PHONE
363050.com发布时间:2026-01-10 02:58:42 点击量:
爱游戏,爱游戏体育,爱游戏平台,爱游戏娱乐,爱游戏官网,爱游戏官方网站,ayx爱游戏平台,爱游戏app,爱游戏体育app,爱游戏app下载,爱游戏体育官网,爱游戏体育app下载,爱游戏体育网页版“拼爹”是近年来广为人知的网络词语,也折射出一种普遍的社会认知——一个事业有成、资源丰富的父亲,似乎确实能为孩子铺设更顺遂的人生道路。
但“拼爹”,究竟拼的是什么呢?是看得见的财力与社会地位,是闪光的学历与职业头衔,还是某种更深层、更持久的影响力?现实中,“全能霸总”般的父亲终究是少数,那么一位普通、平凡的父亲,又能传递给孩子什么呢?
其实,科学研究已经为我们揭示了一个更立体的答案:“拼爹”拼的远不止物质条件或社会标签,更在于父亲作为家庭系统中的关键一员,所能提供的情感陪伴的质量、家庭氛围的稳定性,以及自身成长所展现的韧性。这些看似无形的“资产”,恰恰对孩子的人格塑造、情绪发展乃至人生轨迹产生着深刻而长远的影响。
近年来的多项研究共同指出,父亲的社会经济地位确实展现出强大的代际惯性——学历更高、家庭更稳定的父亲,其子女在成长过程中往往享有更优的心理环境与发展资源。更重要的是,父亲积极承担育儿责任,不仅能够显著促进孩子的认知与社会情感发展,对父亲自身的心理健康与生活满足感也大有裨益。
下文我们将结合几项关键研究,带大家一起看看,科学是如何重新诠释“爹力”的~
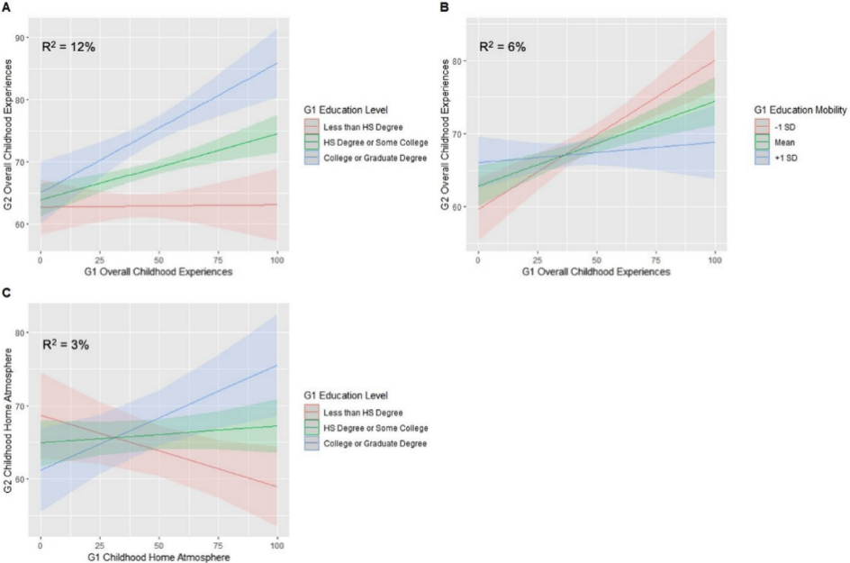
一项发表在《家庭心理学杂志》(Journal of Family Psychology)上的研究,依托著名的“哈佛成人发展研究”数据,为我们揭示了父亲童年经历与子女成长之间复杂而真实的关联。
该研究追踪了来自两个截然不同背景的男性群体:一组是268名哈佛本科生(代表优势阶层),另一组是456名来自波士顿贫困社区的青少年(代表劣势阶层)。这些男性作为G1代(父亲),他们的子女则构成G2代,共同参与这项跨越代际的调研。
为增强两代人数据的可比性,研究团队采用了严谨的设计:G1的童年数据源自他们14-19岁时接受的专业访谈,并由编码员进行客观评估;G2则在2015年通过回顾问卷,回顾性地报告自己的童年经历(当时平均年龄59岁)。所有数据通过多层模型进行分析,并将相关变量转化为0-100的标准化分数,以更公平地比较不同世代之间的经历。
研究发现,代际传递在不同领域差异显著。从整体来看,父亲的早期生活经历仅能解释子女早期经历的4%。但若分领域观察,结果则大不相同:
童年社会阶层显示出强烈的代际连续性,父亲的社会阶层可以解释子女社会阶层49%的变异。也就是说,父亲童年时若处于较低社会阶层,其子女也更有可能经历类似的经济环境。
而在家庭氛围、亲子关系质量和健康状况这三个方面,代际连续性则非常微弱(解释变异均低于3%)。这意味着,父亲自己是否成长于温暖的家庭、拥有良好的亲子关系或健康状况,对其子女在这些方面的经历预测力很低。
童年社会阶层显示出强烈的代际连续性,父亲的社会阶层可以解释子女社会阶层49%的变异。也就是说,父亲童年时若处于较低社会阶层,其子女也更有可能经历类似的经济环境。
而在家庭氛围、亲子关系质量和健康状况这三个方面,代际连续性则非常微弱(解释变异均低于3%)。这意味着,父亲自己是否成长于温暖的家庭、拥有良好的亲子关系或健康状况,对其子女在这些方面的经历预测力很低。
进一步分析发现,真正关键的家庭层面因素是:父亲的教育水平、教育流动性(即相比自己的父亲,教育程度是否提升)以及当前家庭的婚姻稳定性。具体来说:
父亲的教育程度至关重要。拥有较高学历(如大学及以上)的父亲,更有可能将积极的童年经历“传递”给下一代。反之,教育程度较低(如低于高中)的父亲,其子女更容易经历不理想的童年环境。而如果父亲通过自身努力实现了教育向上流动,则能显著削弱甚至打破原生家庭的负面影响。
稳定的婚姻是下一代的情感“保护罩”。在子女普遍感知父母婚姻关系稳定的家庭中,孩子往往能享有更积极的家庭氛围,这种稳定性能够缓冲父亲自身童年家庭可能存在的负面经历。
父亲的教育程度至关重要。拥有较高学历(如大学及以上)的父亲,更有可能将积极的童年经历“传递”给下一代。反之,教育程度较低(如低于高中)的父亲,其子女更容易经历不理想的童年环境。而如果父亲通过自身努力实现了教育向上流动,则能显著削弱甚至打破原生家庭的负面影响。
稳定的婚姻是下一代的情感“保护罩”。在子女普遍感知父母婚姻关系稳定的家庭中,孩子往往能享有更积极的家庭氛围,这种稳定性能够缓冲父亲自身童年家庭可能存在的负面经历。
总之,上文这篇研究指出,父亲的社会经济地位虽具代际惯性,但通过教育提升与经营稳定的婚姻,父亲完全有能力为子女创造全新的情感起点,打破负面循环。
如果说上一项研究关注的是父亲的“过去”如何影响孩子,那么接下来的两篇研究就着眼于父亲“当下”的育儿行为,如何具体且独特地促进孩子的成长。
两项研究都发现:父亲深度参与到育儿中对孩子的健康、社会情感及认知发展均具有显著益处,且这种影响贯穿了从出生到童年的各个阶段[2,3]:
备孕与围产期:父亲的生理与心理健康直接影响后代的健康起点;孕期和产后积极参与,能提升母婴福祉并促进父子早期联结。
儿童早期(0-6岁):父亲通过言传身教,如示范情绪管理、使用更丰富的语言交流、带孩子参与思维游戏和户外活动等,分别在儿童社会情感能力、语言发展与身体活动水平方面产生独特而直接的积极影响,表明父亲在儿童成长过程中承担着不可替代的关键角色。
备孕与围产期:父亲的生理与心理健康直接影响后代的健康起点;孕期和产后积极参与,能提升母婴福祉并促进父子早期联结。
儿童早期(0-6岁):父亲通过言传身教,如示范情绪管理、使用更丰富的语言交流、带孩子参与思维游戏和户外活动等,分别在儿童社会情感能力、语言发展与身体活动水平方面产生独特而直接的积极影响,表明父亲在儿童成长过程中承担着不可替代的关键角色。
此外,分析结果显示,父亲参与的独献在多个方面均具有统计学显著性。例如父亲参与对孩子心理与社会发展的积极影响尤为明显(效应值分别为0.16和0.21),对学业表现也有明显的促进作用(效应值0.14)。研究还观察到,父亲在育儿过程中更注重为孩子未来的生活做准备,给予现实引导和行为规范;而母亲则更多提供情感支持与日常照料。二者在教养中形成有效互补,共同支撑孩子的全面发展。
由此可见,父亲并非母亲的“替补”,而是孩子成长中不可或缺的“合作教练”,以不同的方式助力孩子走向独立与成熟。
看到这儿,你也许会问:我们一直谈论父亲带孩子对孩子的好处,那么对于父亲自己而言,陪伴孩子是否也有积极影响呢?
一项发表在《精神病学前沿》(Frontiers in Psychiatry)的研究给出了肯定的答案——其通过社区参与式研究设计,追踪了来自美国五个地区、共881名不同种族/族裔的低收入父亲,系统探讨了父亲早期参与对其产后抑郁症状的长期影响。结果表明:带娃能够显著降低男性成为父亲后的抑郁患病率。
(PS:为什么选择研究抑郁程度这一点呢?研究表明,约8%-10%的父亲在孩子出生后会经历产后抑郁,这一比例是普通男性抑郁患病率的两倍。这不仅直接影响父亲本人的心理健康,也对孩子的成长和家庭后续稳定生活产生深远影响。)
在控制了年龄、种族、婚姻状况、教育水平等因素后,研究发现:在孩子1个月大时,父亲的育儿自我效能感越高、与婴儿相处时间越长、为孩子提供的物质支持越充足,其在接下来一年内的抑郁症状水平就越低。其中,育儿自我效能感(即对自己带好孩子的信心)是降低临床抑郁风险最关键的因素。
这意味着,父亲投入育儿,不仅仅是在养育孩子,也是在滋养自己——那种“我能成为一个好爸爸”的信念与实践,本身就是抵御情绪困扰、提升心理幸福感的重要力量。
综上,从代际影响,到当下育儿中的独特角色,再到父亲自身从中获得的心理回报,科学研究为我们指出:父亲在家庭中远不止是一个“经济支柱”或“背景角色”,而是孩子成长过程中情感、认知与社会化发展的关键参与者,也是一个能在养育中不断获得正向反馈和自我滋养的个体。
而真正该拼的“爹力”,不止于孩子爹拥有多少财富或资源,而在于他是否愿意并能够持续投入,与母亲协同合作,共同为孩子构建一个稳定、温暖且充满成长的氛围。而在这样良性的家庭循环中,每一个人——孩子、母亲、父亲,都将成为爱的受益者~返回搜狐,查看更多
